

Los cartuchos de filtro plisados de alto flujo de la serie HFA son cartuchos plisados de alta calidad de reemplazo de filtros de cartucho de alto flujo Pall Ultipleat fabricados por Hongtek. El diámetro exterior suele ser de 6 pulgadas (152 mm). Los filtros de alto flujo se pueden fabricar sin núcleo o con núcleo central interno con jaula dura externa, con un solo extremo abierto cuando el otro extremo está sellado con una tapa de junta tórica.
El patrón de flujo de líquido del cartucho filtrante de alto flujo es de adentro hacia afuera. El diseño geométrico de gran diámetro de los cartuchos de filtro de alto flujo plisados de polipropileno aumenta el área de filtración de la superficie, fortalece la capacidad de retención de suciedad para ahorrar cantidades de cartuchos de filtro y mejora el caudal cuando la eficiencia de filtración supera el 99%. Los cartuchos plisados de alto flujo tienen una amplia gama de aplicaciones y compatibilidad química, lo que los convierte en la opción ideal para sistemas industriales de filtración de agua de alto flujo para proteger la membrana RO.
| Medios filtrantes | Polipropileno (PP) plisado |
| Longitud | 20"(508 mm), 40"(1016 mm), 60"(1524 mm) |
| Diámetro exterior | 6 pulgadas (152 mm) |
| Diámetro interior | 73,5 mm |
| Clasificación de filtración | 1μm, 2μm, 3μm, 5μm, 10μm, 20μm, 40μm, 70μm, 100μm |
| Soporte/Drenaje | Polipropileno (PP) |
| Material de la tapa final | Polipropileno (PP) reforzado con fibra de vidrio |
| afuera | Jaula dura rígida, acero inoxidable (especial) |
| Material del sello | EPDM, Buna-N, Vitón |
● La estructura de poros en gradiente de los filtros plisados de alto flujo proporciona funciones de filtrado en capas.
● La jaula exterior dura puede soportar presiones más altas que los filtros de alto flujo fabricados con redes blandas.
● La reducción del espacio del sistema de filtración podría maximizarse al 50% para reducir los costos de mantenimiento.
● El caudal más alto de los cartuchos plisados de alto flujo podría alcanzar 110 M³/H y una clasificación Beta 5000 (99,98 % de eficiencia).
● El patrón de filtración de adentro hacia afuera de los filtros de alto flujo garantiza que todas las impurezas permanezcan dentro del medio plisado.
● Los cartuchos plisados de alto flujo son más económicos debido a su alta eficiencia de filtración y menores costos de eliminación de desechos.
● Los materiales cumplen con los requisitos de la FDA con amplia compatibilidad química, sin resinas, aglutinantes ni adhesivos y pruebas de integridad del 100%.
● Pinturas y revestimientos
● Microelectrónica, película y resina.
● Tratamiento de agua en Generación de Energía.
● Prefiltración RO y desalinización de agua de mar
● Solventes, API y filtración de agua en el campo Bio.
● Agua embotellada, alto contenido de fructosa, aceite comestible, refrescos y leche.
Datos de funcionamiento de los cartuchos filtrantes plisados de alto flujo serie HFA
| Temperatura máxima de funcionamiento | 180°F @ 20 psid (82°C @ 1,4 bar) |
| 160°F @ 30 psid (71°C @ 2,1 bar) | |
| 77°F @ 50 psid (25°C @ 3,4 bar) | |
| Flujo máximo de agua sugerido | Longitud de 20 pulgadas: 660 LPM |
| Longitud de 40 pulgadas: 1300 LPM | |
| Longitud de 60 pulgadas: 1900 LPM | |
| Dirección del flujo de líquido | De dentro a fuera |
| Área de superficie típica | Cartucho de filtro de 3,5㎡ por 20" |
| Cartucho de filtro de 7㎡ por 40" | |
| 10,5㎡ por cartucho de filtro de 60" | |
| Recomendar cambiar la presión diferencial | 2,5 barras a 20 ℃ |
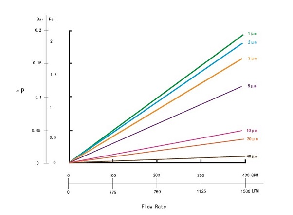
Tasa de caída de presión para cartuchos de filtro plisados de alto flujo de la serie HFA de 40"

Diseño para cartuchos de filtro de alto flujo

● Un potente equipo técnico puede ayudar a personalizar los filtros especiales plisados de alto flujo.
● El diseño 3D de alta gama muestra las ventajas de la estructura de reemplazo de filtros de alto flujo Pall Ultipleat.
● El diseño completo es muy importante para la investigación, el desarrollo y la fabricación de cartuchos plisados de alto flujo.
● Preste mucha atención a cada detalle, mejor diseño para crear cartuchos filtrantes de alto flujo de mayor calidad para el sistema de filtración de agua.
Instalación de cartuchos filtrantes plisados de alto flujo

● Los cartuchos de filtro de alto flujo tienen un patrón de flujo de adentro hacia afuera y no tienen derivación y tienen una larga vida útil.
● Adecuado para instalar carcasas de filtro de acero inoxidable verticales u horizontales y carcasas de filtro de plástico.
● Jaula dura exterior para lograr una estructura estable y una integridad del 100 %; se puede agregar un núcleo interno cuando sea necesario
● Los filtros nominales o absolutos de alto caudal y baja presión delta están diseñados para cumplir con los requisitos
● Huella más pequeña y sistemas de filtración de agua más económicos, menores costos de mantenimiento y eliminación de desechos.
● Fácil de instalar y reemplazar, ahorra mano de obra y costos de mantenimiento, adecuado para carcasas de filtros estándar internacionales
| HFA | Materiales | Longitud | Clasificación de filtración |
junta tórica Materiales |
Interior (selectivo) |
|
Serie HFA Plisado Alto Flujo Cartuchos de filtro |
P = PP Plisado | 20 = 20"(508 mm) | 1 = 1 µm | E = EPDM | C = Núcleo central de PP |
| 2 = 2 μm | |||||
| 3 = 3μm | |||||
| 40 = 40"(1016 mm) | 5 = 5 µm | B = Buna-N | |||
| 10 = 10 µm | |||||
| 20 = 20 µm | |||||
| 60 = 60"(1524 mm) | 40 = 40 µm | V = Vitón | |||
| 50 = 50 µm | |||||
| 70 = 70 µm | |||||
| 100 = 100 µm |
Por ejemplo:
HFA-P-40-5-E
Cartuchos de filtro plisados de alto flujo serie HFA - Material: Polipropileno - Longitud = 40" - Clasificación de filtración = 5 μm - Material de la junta tórica = EPDM
Los cartuchos plisados de alto flujo con especificaciones especiales se pueden personalizar, como núcleo central de PP, tapas de extremo especiales o jaula exterior de acero inoxidable, etc.